3-Benzhydrylmorpholine
![]() | |
| Identifiers | |
|---|---|
| |
| CAS Number | |
| PubChem CID | |
| ChemSpider | |
| UNII | |
| CompTox Dashboard (EPA) | |
| Chemical and physical data | |
| Formula | C17H19NO |
| Molar mass | 253.345 g·mol−1 |
| 3D model (JSmol) | |
| |
| |
| (verify) | |
3-Benzhydrylmorpholine is a drug that was developed by American Home Products in the 1950s.[1] It has stimulant and anorectic effects and is related to both pipradrol and phenmetrazine.
Synthesis

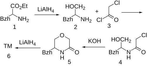
The Ethyl ester of β-Phenylphenylalanine (Diphenylalanine), i.e. ethyl 2-amino-3,3-diphenylpropanoate (CID:101017845) (1) is the starting material. Lithium aluminium hydride reduction of the ester to the primary alcohol gives 2-amino-3,3-diphenylpropan-1-ol, CID:15798949 (2). Acylation of the primary amine with chloroacetyl chloride [79-04-9] (3) gives 2-chloro-N-(3-hydroxy-1,1-diphenylpropan-2-yl)acetamide (4). Base catalyzed ring closure affords the lactam, i.e. 5-benzhydrylmorpholin-3-one (5). Further treatment with lithium aluminium hydride reduces the lactam function to the morpholine ring, thus 3-benzhydrylmorpholine is formed (6).
See also
- Desoxypipradrol
- β-Phenylmethamphetamine
- 2-Benzhydrylpiperazine
- 3-Benzylmorpholine is also patented (q.v.).
References
- ^ Adderall alternatives
- ^ US 2993895, Winthrop SO, "3-Benzhydrylmorpholine and salts thereof, and method of preparing said compounds", issued 25 July 1961, assigned to American Home Prod.
