Ethyl bromoacetate

Ethyl bromoacetate
Skeletal formula of ethyl bromoacetate
Skeletal formula of ethyl bromoacetate
Ball-and-stick model of ethyl bromoacetate
Ball-and-stick model of ethyl bromoacetate
Names
Preferred IUPAC name
Ethyl bromoacetate
Other names
  • Antol
  • Bromoacetic acid, ethyl ester
  • Ethoxycarbonylmethyl bromide
  • Ethyl 2-bromoacetate
Identifiers
3D model (JSmol)
ChEMBL
ChemSpider
ECHA InfoCard 100.002.992
EC Number
  • 203-290-9
RTECS number
  • AF6000000
UNII
UN number 1603
  • InChI=1S/C4H7BrO2/c1-2-7-4(6)3-5/h2-3H2,1H3 checkY
    Key: PQJJJMRNHATNKG-UHFFFAOYSA-N checkY
  • InChI=1/C4H7BrO2/c1-2-7-4(6)3-5/h2-3H2,1H3
    Key: PQJJJMRNHATNKG-UHFFFAOYAE
  • BrCC(=O)OCC
Properties
BrCH2CO2CH2CH3
Molar mass 167.002 g·mol−1
Appearance Colorless to yellow liquid[1]
Odor Fruity, pungent[2]
Density 1.51 g/cm3
Melting point −38 °C (−36 °F; 235 K)[1]
Boiling point 158 °C (316 °F; 431 K)[1]
Insoluble
−82.8·10−6 cm3/mol
Hazards
GHS labelling:
GHS06: Toxic
Danger
H300, H310, H330
P260, P262, P264, P270, P271, P280, P284, P301+P310, P302+P350, P304+P340, P310, P320, P321, P322, P330, P361, P363, P403+P233, P405, P501
NFPA 704 (fire diamond)
NFPA 704 four-colored diamondHealth 4: Very short exposure could cause death or major residual injury. E.g. VX gasFlammability 0: Will not burn. E.g. waterInstability 3: Capable of detonation or explosive decomposition but requires a strong initiating source, must be heated under confinement before initiation, reacts explosively with water, or will detonate if severely shocked. E.g. hydrogen peroxideSpecial hazards (white): no code
4
0
3
Flash point 47 °C (117 °F; 320 K)[1]
Related compounds
Related esters
Related compounds
Except where otherwise noted, data are given for materials in their standard state (at 25 °C [77 °F], 100 kPa).
☒N verify (what is checkY☒N ?)
Infobox references

Ethyl bromoacetate is the chemical compound with the formula BrCH2CO2CH2CH3. It is the ethyl ester of bromoacetic acid and is prepared in two steps from acetic acid.[3] It is a lachrymator and has a fruity, pungent odor.[2] It is also a highly toxic alkylating agent and may be fatal if inhaled.

Applications

Ethyl bromoacetate is listed by the World Health Organization as a riot control agent, and was first employed for that purpose by French police in 1912.[4] The French army used rifle grenades 'grenades lacrymogènes'[5] filled with this gas against the Germans beginning in August 1914, but the weapons were largely ineffective, even though ethyl bromoacetate is twice as toxic as chlorine.[6][a] In the early months of the war the British also used the weaponized use of tear gas agents and more toxic gasses including sulfur dioxide.[7] The German army then used these attacks to justify their subsequent employment of it as odorant or warning agent in odorless, toxic gases and chemical weapons in 1915 under the German code Weisskreuz (White Cross).[8]

In organic synthesis, it is a versatile alkylating agent. Its major application involves the Reformatsky reaction, wherein it reacts with zinc to form a zinc enolate. The resulting BrZnCH2CO2CH2CH3 condenses with carbonyl compounds to give a β-hydroxy-esters.

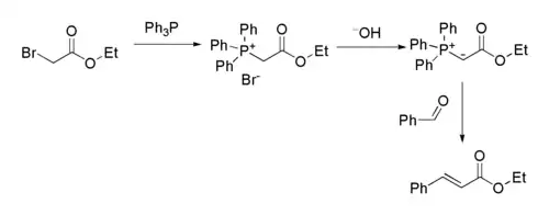
It is also the starting point for the preparation of several other reagents. For example, the related Wittig reagent (prepared by reaction with triphenylphosphine) is commonly used to prepare alpha,beta-unsaturated esters from carbonyl compounds such as benzaldehyde:[9]

Ethyl bromoacetate as the starting point for a Wittig reaction sequence
Ethyl bromoacetate as the starting point for a Wittig reaction sequence

References

  1. ^ a b c d Chemicalland properties database (dead link 13 September 2018)
  2. ^ a b Criswell, DW; McClure, FL; Schaefer, R; Brower, KR (1980). "War gases as olfactory probes". Science. 210 (4468): 425–6. Bibcode:1980Sci...210..425C. doi:10.1126/science.6968976. PMID 6968976.
  3. ^ Natelson, S.; Gottfried, S. (1955). "Ethyl Bromoacetate". Organic Syntheses; Collected Volumes, vol. 3, p. 381.
  4. ^ Public health response to biological and chemical weapons, Chapter 3, Biological and Chemical agents, WHO Guidance]
  5. ^ "Plaidoyer pour la guerre des gaz". 15 April 2005.
  6. ^ "Plaidoyer pour la guerre des gaz". 15 April 2005.
  7. ^ "Poison Gas and World War One".
  8. ^ Heller, Charles E. (September 1984). "Chemical Warfare in World War I: The American Experience, 1917-1918". Combat Studies Institute. Archived from the original on 2007-07-04. Retrieved 2007-08-02.
  9. ^ A student lab procedure for the Wittig sequence shown, only using the related methyl ester.

Footnotes

  1. ^ The small quantities of gas delivered, roughly 19 cm3 per cartridge, were not even detected by the Germans. The stocks were rapidly consumed.[Why bromoacetate failed in WW1]

Organic Chemistry