Gambierol
![]() | |
| Names | |
|---|---|
| Preferred IUPAC name
(2S,4S,4aS,5aR,6aS,7aR,9aS,10aR,11aS,13R,14S,16aR,17aS,18aR,19aS,20aR,21aS,22aR)-13-[(1Z,3Z)-Hepta-1,3,6-trien-1-yl]-2-(3-hydroxypropyl)-4a,5a,14,17a,18a-pentamethyl-2,3,4,4a,5a,6,6a,7a,8,9,9a,10a,11,11a,13,14,16a,17a,18,18a,19a,20,20a,21a,22,22a-hexacosahydrooxepino[2′′,3′′:5′,6′]pyrano[2′,3′:5,6]pyrano[3,2-b]pyrano[2′′′,3′′′:5′′,6′′]pyrano[2′′,3′′:5′,6′]pyrano[2′,3′:5,6]pyrano[2,3-f]oxepine-4,14-diol | |
| Identifiers | |
3D model (JSmol)
|
|
| ChEMBL | |
| ChemSpider | |
PubChem CID
|
|
| UNII | |
CompTox Dashboard (EPA)
|
|
| |
| |
| Properties | |
| C43H64O11 | |
| Molar mass | 756.974 g·mol−1 |
Except where otherwise noted, data are given for materials in their standard state (at 25 °C [77 °F], 100 kPa).
Infobox references
| |
Gambierol is a marine polycyclic ether toxin which is produced by the dinoflagellate Gambierdiscus toxicus.[2] Gambierol is collected from the sea at the Rangiroa Peninsula in French Polynesia. The toxins are accumulated in fish through the food chain and can therefore cause human intoxication. The symptoms of the toxicity resemble those of ciguatoxins, which are extremely potent neurotoxins that bind to voltage-sensitive sodium channels and alter their function. These ciguatoxins cause ciguatera fish poisoning. Because of the resemblance, there is a possibility that gambierol is also responsible for ciguatera fish poisoning. Because the natural source of gambierol is limited, biological studies are hampered. Therefore, chemical synthesis is required.[3]
Structure and reactivity
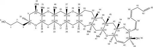
Gambierol is a ladder-shaped polyether, composed of eight ether rings, 18 stereocenters, and two challenging pyranyl rings having methyl groups that are in a 1,3-diaxial orientation to one another.[4][5] Different structural analogues were synthesized to determine which groups and side chains attached to the gambierol are essential for its toxicity. Not only the fused polycyclic ether core is essential, but also the triene side chain at C51 and the C48-C49 double bond were indispensable. In the triene side chain, the double bond between C57 and C58 was essential. The C1 and C8 hydroxy groups were not essential, but they enhance the activity. The conjugate diene in the triene side chain also enhances the toxicity.[3][6]

Synthesis
The synthesis of gambierol consists of two tetracyclic precursor molecules, one alcohol and one acetic acid, that fuse together. The whole synthesis of gambierol is depicted in the figure below. After obtaining the octacyclic backbone, the tail is added via Stille coupling. The acetic acid (compound 1) and alcohol (compound 2) are converted to compound 3. The reaction of compound 3 with the titanium alkylidene from dibromide 1,1-dibromoethane, provides cyclic enol ether (compound 4). Oxidation of the alcohols gives majorly compound 5, but also compound 6. These are both ketones, but they have other stereochemistry. Compound 6 can be converted back in compound 5 with reactant c, thereby moving the equilibrium towards compound 5. This ketone can be converted further to produce reactive gambierol. By reductive cyclization of the D ring, the octacyclic core structure (compound 7) was made. Oxidation of compound 7 to the aldehyde was followed by formation of the diiodolefin. Stereoselective reduction, global deprotection and Stille coupling of compound 8 with dienyl stannane (compound 9) provide gambierol.[7]

Mechanism of action
Gambierol acts as a low-efficacy partial agonist at voltage-gated sodium channels (VGSC's) and as a high affinity inhibitor of voltage-gated potassium currents.[8] It reduces the current through potassium channels irreversibly by stabilizing some of the closed channels.[9] It acts as an intermembrane anchor where it displaces lipids and prohibits the voltage sensor domain of the channel from moving during physiologically important changes. This causes the channel to remain in the closed state and lowers the current.[10] Gambierol also decreases the amplitude of inward sodium currents and hyperpolarizes the inward sodium current activation.
Gambierol has a high affinity for especially Kv1.1-1.5 channels and the Kv3.1 channel. Kv1.1-1.5 channels are responsible for repolarization of the membrane potential. The Kv1.3 channel however, has additional functions by regulating the Ca2+ signaling for T cells. If they are blocked, the T cells at the site of inflammation paralyse and are not reactivated.[11] Kv3.1 channels are responsible for the high frequency firing of action potentials.[12] If the Kv channels are closed, the depolarized membrane cannot repolarize to its resting state, causing a permanent action potential. This leads to paralysis of, for example, the respiratory system and therefore suffocation of the organism.
In neurons, gambierol has been reported to induce Ca2+ oscillations because of blockage of the voltage-gated potassium channels. The Ca2+ oscillations involve glutamate release and activation of NMDARs (glutamate receptors). This is however secondary to the blockade of potassium channels.[8] The oscillations reduce the cytoplasmic Ca2+ threshold for the activation of Ras. Ras stimulates MAPKs to phosphorylate ERK1/2 which induce outgrowth of neurites. This is however dependent on intracellular concentrations and interaction of the NMDAR receptors They both work bidirectionally.[13]
An increase in intracellular calcium concentration also activates the nitric oxide synthase to produce nitric oxide.[14] In combination with a superoxide, nitric oxide forms peroxynitrite and causes oxidative stress in different sorts of tissues. This explains the toxic symptoms derived from intake of gambierol.[15]
Metabolism
Metabolism of gambierol is not known yet, but the expectation is that gambierol acts almost the same as the ciguatoxins. Ciguatoxins are polycyclic polyether compounds. Their molecular weight is between 1.023 and 1.159 Dalton. Gambierol is structurally similar to ciguatoxins and it can be synthesized together with them.[16] Excretion of these ciguatoxins is largely via the feces and in smaller amounts via urine.[15] The compounds are very lipophilic and will therefore diffuse to multiple organs and tissues, for example the liver, fat and the brain. The highest concentration was found in the brain, but muscles contained the highest total amount after a few days. Because gambierol is lipophilic, it can easily persist and accumulate in the fish food chain. The detoxification pathways are still unknown, but it is possible to eliminate the gambierol. This will take several months or years.[16]
Efficacy and side effects
The membrane potential and calcium signaling in T lymphocytes are controlled by ion channels. T cells can be activated if membrane potential and calcium signaling are altered, because they are coupled to signal transduction pathways. If these signal transduction pathways are disrupted, it can prevent the T cells from responding to antigens. This is called immune suppression. Gambierol is a potent blocker of potassium channels, which for a part determine the membrane potential. Gambierol is therefore a good option for the development of a drug that can be used in immunotherapy. This is for example used in diseases like multiple sclerosis, diabetes mellitus type 1 and rheumatoid arthritis.[17]
Treatment with gambierol is not being used yet, because the compound is toxic and also blocks other channels and thereby disrupts important processes. Intake of gambierol can also cause pain, because Kv1.1 and Kv1.4 channels are blocked and that increases the excitability of central circuits. It also causes illness for several weeks. This is explained by the fact that gambierol is very lipophilic. Lipophilic compounds have high affinity for the lipid bilayer of cell membranes. It is likely that gambierol remains in the cell membrane for days or a few weeks, which explains the long term illness associated with gambierol treatment. There are also other symptoms already explained by the mechanism of action of gambierol, for example difficulties with respiration and hypotension.[2]
Gambierol is also an interesting compound in research into treatments of pathologies like Alzheimer's disease, which are caused by increased expression of β-amyloid and/or tau hyperphosphorylation. Increases in β-amyloid accumulation and/or tau phosphorylation affects neurons the most. The neurons will then be degenerated and therefore this process has effects on the nervous system. However, gambierol can reduce this overexpression of β-amyloid and/or tau hyperphosphorylation in vitro and in vivo.[18][19]
Gambierols function in inducing outgrowth of neurites in a bidirectional manner can potentially be used after neural injury. After for example a trauma or a stroke, gambierol can be used to change the structural plasticity of the brain.[13] The possibility of gambierol to cross the blood–brain barrier is very important in this case.[19]
Toxicity
Poisoning by gambierol is normally caused after eating contaminated fish. Gambierol exhibits potent toxicity against mice at 50-80 μg/kg by intraperitoneal injection or 150 μg/kg when consumed orally.[20] Symptoms resemble those of ciguatera poisoning. The symptoms concerning the gastrointestinal tract are:
- Abdominal pain
- Nausea
- Vomiting
- Diarrhea
- Painful defecation
The neurological symptoms include:
- Paradoxical temperature reversion; cold objects feel hot and vice versa.
- Dental pain; teeth feel loose.[21]
Treatment
There is no known antidote for gambierol poisoning.[21]
References
- ^ "ChemSpider". The Royal Society of Chemistry. http://www.chemspider.com/Chemical-Structure.4946332.html
- ^ a b Cuypers, E.; Abdel-Mottaleb, Y.; Kopljar, I.; Raes, A. L.; Snyders, D. J.; Tytgat, J (2008). "Gambierol, a toxin produced by the dinoflagellate Gambierdiscus toxicus, is a potent blocker of voltage-gated potassium". Toxicon. 51 (6): 974–983. doi:10.1016/j.toxicon.2008.01.004. PMC 2597072. PMID 18313714.
- ^ a b Fuwa, H.; Kainuma, N.; Satake, M.; Sasaki, M. (2003). "Synthesis and biological evaluation of gambierol analogues". Bioorganic & Medicinal Chemistry Letters. 13 (15): 2519–2522. doi:10.1016/S0960-894X(03)00467-0. PMID 12852956.
- ^ LePage, K. T.; Rainier, J. D.; Johnson, H. W. B.; Baden, D. G.; Murray, T. F. (2007). "Gambierol Acts as a Functional Antagonist of Neurotoxin Site 5 on Voltage-Gated Sodium Channels in Cerebellar Granule Neurons". The Journal of Pharmacology and Experimental Therapeutics. 323 (1): 174–179. doi:10.1124/jpet.107.124271. PMC 2659870. PMID 17609421.
- ^ Majumder, U.; Cox, J. M.; Johnson, H. W. B.; Rainier, D. (2006). "Total Synthesis of Gambierol: The Generation of the A–C and F–H Subunits by Using a C-Glycoside Centered Strategy". Chemistry. 12 (6): 1736–1746. doi:10.1002/chem.200500993. PMID 16331718.
- ^ Sasaki, M.; Fuwa, H. (2008). "Convergent strategies for the total synthesis of polycyclic ether marine metabolites". Natural Product Reports. 25 (2): 401–426. doi:10.1039/B705664H. PMID 18389143.
- ^ Johnson, H. W. B.; Majumder, U.; Rainier, J. D. (2005). "The Total Synthesis of Gambierol". Journal of the American Chemical Society. 127 (3): 848–849. Bibcode:2005JAChS.127..848J. doi:10.1021/ja043396d. PMID 15656618.
- ^ a b Alonso, E.; Vale, C.; Sasaki, M.; Fuwa, H.; Konno, Y.; Perez, S.; Vieytes, M. R.; Botana, L. M. (2010). "Calcium oscillations induced by gambierol in cerebellar granule cells". Journal of Cellular Biochemistry. 110 (2): 497–508. doi:10.1002/jcb.22566. PMID 20336695. S2CID 13237592.
- ^ Ghiaroni, V.; Sasaki, M.; Fuwa, H.; Scalera, G.; Yasumoto, T.; Pietra, P.; Bigiani, A. (2005). "Inhibition of voltage-gated potassium currents by gambierol in mouse taste cells". Journal of Cellular Biochemistry. 110 (2): 497–508. doi:10.1093/toxsci/kfi097. PMID 15689421.
- ^ Kopljar, I.; Labro, A. J.; Cuypers, E.; Johnson, H. W.; Rainier, J. D.; Tygat, J.; Snyders, D. J. (2009). "A polyether biotoxin binding site on the lipid-exposed face of the pore domain of Kv channels revealed by the marine toxin gambierol". Proceedings of the National Academy of Sciences. 106 (24): 9896–9901. Bibcode:2009PNAS..106.9896K. doi:10.1073/pnas.0812471106. PMC 2688436. PMID 19482941.
- ^ Matheu, M. P.; Beeton, C.; Garcia, A.; Chi, V.; Rangaraju, S.; Safrina, O.; Monaghan, K.; Uemura, M. I.; Li, D.; Pal, S.; de la Maza, L. M.; Monuki, E.; Flügel, A.; Pennington, M. W.; Parker, I.; Chandy, K. G.; Cahalan, M. D. (2008). "Imaging of effector memory T cells during a delayed-type hypersensitivity reaction and suppression by Kv1.3 channel block". Immunity. 29 (4): 602–614. doi:10.1016/j.immuni.2008.07.015. PMC 2732399. PMID 18835197.
- ^ Rudy, B.; McBain, C.J. (2001). "Kv3 channels: voltage-gated K+ channels designed for high-frequency repetitive firing". Trends in Neurosciences. 24 (9): 517–526. doi:10.1016/S0166-2236(00)01892-0. PMID 11506885. S2CID 36100588.
- ^ a b Cao, Z.; Zui, Y.; Busse, E.; Mehrotra, S.; Rainier, J.D.; Murray, T.F. (2014). "Gambierol Inhibition of Voltage-Gated Potassium Channels Augments Spontaneous Ca2+ Oscillations in Cerebrocortical Neurons". The Journal of Pharmacology and Experimental Therapeutics. 350 (3): 615–623. doi:10.1124/jpet.114.215319. PMC 4152883. PMID 24957609.
- ^ He, H.; Venema, V.J.; Gu, X.; Venema, R.C.; Marrero, M.B.; Caldwell, R.B. (1999). "Vascular Endothelial Growth Factor Signals Endothelial Cell Production of Nitric Oxide and Prostacyclin through Flk-1/KDR Activation of c-Src". The Journal of Biological Chemistry. 274 (35): 25130–25135. doi:10.1074/jbc.274.35.25130. PMID 10455194.
- ^ a b Botana, L.M. (2014). Seafood and Freshwater Toxins: Pharmacology, Physiology, and Detection. Boca Raton, Florida: CRC Press Taylor & Francis Group. p. 214. ISBN 9781466505148.
- ^ a b "Ciguatera Fish Poisoning (CFP)". Institut Louis Malardé. 2014. Retrieved March 13, 2017.
- ^ Rubiolo, J.A.; Vale, C.; Martín, V.; Fuwa, H.; Sasaki, M.; Botana, L.M. (2015). "Potassium currents inhibition by gambierol analogs prevents human T lymphocyte activation". Archives of Toxicology. 89 (7): 1119–1134. Bibcode:2015ArTox..89.1119R. doi:10.1007/s00204-014-1299-2. PMID 25155189. S2CID 17885475.
- ^ WO 2011051521, Botana, L.L.M.; Alonso, L.E. & Vale, G.C., "Use of gambierol for treating and/or preventing neurodegenerative diseases related to tau and beta-amyloid", published 2011-05-05.
- ^ a b Alonso, E.; Vieira, A.; Rodriguez, I.; Alvariño, R.; Gegunde, S.; Fuwa, H.; Suga, Y.; Sasaki, M.; Alfonso, A.; Cifuentes, J.; Botana, L. (2017). "Tetracyclic Truncated Analogue of the Marine Toxin Gambierol Modifies NMDA, Tau, and Amyloid β Expression in Mice Brains: Implications in AD Pathology". ACS Chemical Neuroscience. 89 (6): 1358–1367. doi:10.1021/acschemneuro.7b00012. PMID 28125211.
- ^ Cagide, E.; Louzao, M.C.; Espiña, B.; Ares, I.R.; Vieytes, M.R.; Sasaki, M.; Fuwa, H.; Tsukano, C.; Konno, Y.; Yotsu-Yamashita, M.; Paquette, L.A.; Yasumoto, T.; Botana, L.M (2011). "Comparative Cytotoxicity of Gambierol versus Other Marine Neurotoxins". Chemical Research in Toxicology. 24 (6): 835–842. doi:10.1021/tx200038j. PMID 21517028.
- ^ a b Arnold, T.C. (2015). "ciguatera toxicity". medscape.com. Retrieved March 13, 2017.
