Graph C*-algebra

In mathematics, a graph C*-algebra is a universal C*-algebra constructed from a directed graph. Graph C*-algebras are direct generalizations of the Cuntz algebras and Cuntz-Krieger algebras, but the class of graph C*-algebras has been shown to also include several other widely studied classes of C*-algebras. As a result, graph C*-algebras provide a common framework for investigating many well-known classes of C*-algebras that were previously studied independently. Among other benefits, this provides a context in which one can formulate theorems that apply simultaneously to all of these subclasses and contain specific results for each subclass as special cases.

Although graph C*-algebras include numerous examples, they provide a class of C*-algebras that are surprisingly amenable to study and much more manageable than general C*-algebras. The graph not only determines the associated C*-algebra by specifying relations for generators, it also provides a useful tool for describing and visualizing properties of the C*-algebra. This visual quality has led to graph C*-algebras being referred to as "operator algebras we can see."[1][2] Another advantage of graph C*-algebras is that much of their structure and many of their invariants can be readily computed. Using data coming from the graph, one can determine whether the associated C*-algebra has particular properties, describe the lattice of ideals, and compute K-theoretic invariants.

Graph terminology

The terminology for graphs used by C*-algebraists differs slightly from that used by graph theorists. The term graph is typically taken to mean a directed graph consisting of a countable set of vertices , a countable set of edges , and maps identifying the range and source of each edge, respectively. A vertex is called a sink when ; i.e., there are no edges in with source . A vertex is called an infinite emitter when is infinite; i.e., there are infinitely many edges in with source . A vertex is called a singular vertex if it is either a sink or an infinite emitter, and a vertex is called a regular vertex if it is not a singular vertex. Note that a vertex is regular if and only if the number of edges in with source is finite and nonzero. A graph is called row-finite if it has no infinite emitters; i.e., if every vertex is either a regular vertex or a sink.

A path is a finite sequence of edges with for all . An infinite path is a countably infinite sequence of edges with for all . A cycle is a path with , and an exit for a cycle is an edge such that and for some . A cycle is called a simple cycle if for all .

The following are two important graph conditions that arise in the study of graph C*-algebras.

Condition (L): Every cycle in the graph has an exit.

Condition (K): There is no vertex in the graph that is on exactly one simple cycle. That is, a graph satisfies Condition (K) if and only if each vertex in the graph is either on no cycles or on two or more simple cycles.

The Cuntz-Krieger Relations and the universal property

A Cuntz-Krieger -family is a collection in a C*-algebra such that the elements of are partial isometries with mutually orthogonal ranges, the elements of are mutually orthogonal projections, and the following three relations (called the Cuntz-Krieger relations) are satisfied:

  1. (CK1) for all ,
  2. (CK2) whenever is a regular vertex, and
  3. (CK3) for all .

The graph C*-algebra corresponding to , denoted by , is defined to be the C*-algebra generated by a Cuntz-Krieger -family that is universal in the sense that whenever is a Cuntz-Krieger -family in a C*-algebra there exists a -homomorphism with for all and for all . Existence of for any graph was established by Kumjian, Pask, and Raeburn.[3] Uniqueness of (up to -isomorphism) follows directly from the universal property.

Edge Direction Convention

It is important to be aware that there are competing conventions regarding the "direction of the edges" in the Cuntz-Krieger relations. Throughout this article, and in the way that the relations are stated above, we use the convention first established in the seminal papers on graph C*-algebras.[3][4] The alternate convention, which is used in Raeburn's CBMS book on Graph Algebras,[5] interchanges the roles of the range map and the source map in the Cuntz-Krieger relations. The effect of this change is that the C*-algebra of a graph for one convention is equal to the C*-algebra of the graph with the edges reversed when using the other convention.

Row-Finite Graphs

In the Cuntz-Krieger relations, (CK2) is imposed only on regular vertices. Moreover, if is a regular vertex, then (CK2) implies that (CK3) holds at . Furthermore, if is a sink, then (CK3) vacuously holds at . Thus, if is a row-finite graph, the relation (CK3) is superfluous and a collection of partial isometries with mutually orthogonal ranges and mutually orthogonal projections is a Cuntz-Krieger -family if and only if the relation in (CK1) holds at all edges in and the relation in (CK2) holds at all vertices in that are not sinks. The fact that the Cuntz-Krieger relations take a simpler form for row-finite graphs has technical consequences for many results in the subject. Not only are results easier to prove in the row-finite case, but also the statements of theorems are simplified when describing C*-algebras of row-finite graphs. Historically, much of the early work on graph C*-algebras was done exclusively in the row-finite case. Even in modern work, where infinite emitters are allowed and C*-algebras of general graphs are considered, it is common to state the row-finite case of a theorem separately or as a corollary, since results are often more intuitive and transparent in this situation.

Examples

The graph C*-algebra has been computed for many graphs. Conversely, for certain classes of C*-algebras it has been shown how to construct a graph whose C*-algebra is -isomorphic or Morita equivalent to a given C*-algebra of that class.

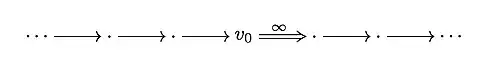
The following table shows a number of directed graphs and their C*-algebras. We use the convention that a double arrow drawn from one vertex to another and labeled indicates that there are a countably infinite number of edges from the first vertex to the second.

Directed Graph Graph C*-algebra
, the complex numbers
, the complex-valued continuous functions on the circle
, the matrices with entries in
, the compact operators on a separable infinite-dimensional Hilbert space
, the matrices with entries in
, the Cuntz algebra generated by isometries
, the Cuntz algebra generated by a countably infinite number of isometries
, the unitization of the algebra of compact operators
, the Toeplitz algebra


The class of graph C*-algebras has been shown to contain various classes of C*-algebras. The C*-algebras in each of the following classes may be realized as graph C*-algebras up to -isomorphism:

  • Cuntz algebras
  • Cuntz-Krieger algebras
  • finite-dimensional C*-algebras
  • stable AF algebras

The C*-algebras in each of the following classes may be realized as graph C*-algebras up to Morita equivalence:

  • AF algebras[6]
  • Kirchberg algebras with free K1-group

Correspondence between graph and C*-algebraic properties

One remarkable aspect of graph C*-algebras is that the graph not only describes the relations for the generators of , but also various graph-theoretic properties of can be shown to be equivalent to C*-algebraic properties of . Indeed, much of the study of graph C*-algebras is concerned with developing a lexicon for the correspondence between these properties, and establishing theorems of the form "The graph has a certain graph-theoretic property if and only if the C*-algebra has a corresponding C*-algebraic property." The following table provides a short list of some of the more well-known equivalences.

Property of Property of
is a finite graph and contains no cycles. is finite-dimensional.
The vertex set is finite. is unital (i.e., contains a multiplicative identity).
has no cycles. is an AF algebra.
satisfies the following three properties:
  1. Condition (L),
  2. for each vertex and each infinite path there exists a directed path from to a vertex on , and
  3. for each vertex and each singular vertex there exists a directed path from to
is simple.
satisfies the following three properties:
  1. Condition (L),
  2. for each vertex in there is a path from to a cycle.
Every hereditary subalgebra of contains an infinite projection.
(When is simple this is equivalent to being purely infinite.)

The gauge action

The universal property produces a natural action of the circle group on as follows: If is a universal Cuntz-Krieger -family, then for any unimodular complex number , the collection is a Cuntz-Krieger -family, and the universal property of implies there exists a -homomorphism with for all and for all . For each the -homomorphism is an inverse for , and thus is an automorphism. This yields a strongly continuous action by defining . The gauge action is sometimes called the canonical gauge action on . It is important to note that the canonical gauge action depends on the choice of the generating Cuntz-Krieger -family . The canonical gauge action is a fundamental tool in the study of . It appears in statements of theorems, and it is also used behind the scenes as a technical device in proofs.

The uniqueness theorems

There are two well-known uniqueness theorems for graph C*-algebras: the gauge-invariant uniqueness theorem and the Cuntz-Krieger uniqueness theorem. The uniqueness theorems are fundamental results in the study of graph C*-algebras, and they serve as cornerstones of the theory. Each provides sufficient conditions for a -homomorphism from into a C*-algebra to be injective. Consequently, the uniqueness theorems can be used to determine when a C*-algebra generated by a Cuntz-Krieger -family is isomorphic to ; in particular, if is a C*-algebra generated by a Cuntz-Krieger -family, the universal property of produces a surjective -homomorphism , and the uniqueness theorems each give conditions under which is injective, and hence an isomorphism. Formal statements of the uniqueness theorems are as follows:

The Gauge-Invariant Uniqueness Theorem: Let be a graph, and let be the associated graph C*-algebra. If is a C*-algebra and is a -homomorphism satisfying the following two conditions:

  1. there exists a gauge action such that for all , where denotes the canonical gauge action on , and
  2. for all ,

then is injective.

The Cuntz-Krieger Uniqueness Theorem: Let be a graph satisfying Condition (L), and let be the associated graph C*-algebra. If is a C*-algebra and is a -homomorphism with for all , then is injective.

The gauge-invariant uniqueness theorem implies that if is a Cuntz-Krieger -family with nonzero projections and there exists a gauge action with and for all , , and , then generates a C*-algebra isomorphic to . The Cuntz-Krieger uniqueness theorem shows that when the graph satisfies Condition (L) the existence of the gauge action is unnecessary; if a graph satisfies Condition (L), then any Cuntz-Krieger -family with nonzero projections generates a C*-algebra isomorphic to .

Ideal structure

The ideal structure of can be determined from . A subset of vertices is called hereditary if for all , implies . A hereditary subset is called saturated if whenever is a regular vertex with , then . The saturated hereditary subsets of are partially ordered by inclusion, and they form a lattice with meet and join defined to be the smallest saturated hereditary subset containing .

If is a saturated hereditary subset, is defined to be closed two-sided ideal in generated by . A closed two-sided ideal of is called gauge invariant if for all and . The gauge-invariant ideals are partially ordered by inclusion and form a lattice with meet and joint defined to be the ideal generated by . For any saturated hereditary subset , the ideal is gauge invariant.

The following theorem shows that gauge-invariant ideals correspond to saturated hereditary subsets.

Theorem: Let be a row-finite graph. Then the following hold:

  1. The function is a lattice isomorphism from the lattice of saturated hereditary subsets of onto the lattice of gauge-invariant ideals of with inverse given by .
  2. For any saturated hereditary subset , the quotient is -isomorphic to , where is the subgraph of with vertex set and edge set .
  3. For any saturated hereditary subset , the ideal is Morita equivalent to , where is the subgraph of with vertex set and edge set .
  4. If satisfies Condition (K), then every ideal of is gauge invariant, and the ideals of are in one-to-one correspondence with the saturated hereditary subsets of .

Desingularization

The Drinen-Tomforde Desingularization, often simply called desingularization, is a technique used to extend results for C*-algebras of row-finite graphs to C*-algebras of countable graphs. If is a graph, a desingularization of is a row-finite graph such that is Morita equivalent to .[7] Drinen and Tomforde described a method for constructing a desingularization from any countable graph: If is a countable graph, then for each vertex that emits an infinite number of edges, one first chooses a listing of the outgoing edges as , one next attaches a tail of the form

to at , and finally one erases the edges from the graph and redistributes each along the tail by drawing a new edge from to for each .

Here are some examples of this construction. For the first example, note that if is the graph

then a desingularization is given by the graph

For the second example, suppose is the graph with one vertex and a countably infinite number of edges (each beginning and ending at this vertex). Then a desingularization is given by the graph

Desingularization has become a standard tool in the theory of graph C*-algebras,[8] and it can simplify proofs of results by allowing one to first prove the result in the (typically much easier) row-finite case, and then extend the result to countable graphs via desingularization, often with little additional effort.

The technique of desingularization may not work for graphs containing a vertex that emits an uncountable number of edges. However, in the study of C*-algebras it is common to restrict attention to separable C*-algebras. Since a graph C*-algebra is separable precisely when the graph is countable, much of the theory of graph C*-algebras has focused on countable graphs.

K-theory

The K-groups of a graph C*-algebra may be computed entirely in terms of information coming from the graph. If is a row-finite graph, the vertex matrix of is the matrix with entry defined to be the number of edges in from to . Since is row-finite, has entries in and each row of has only finitely many nonzero entries. (In fact, this is where the term "row-finite" comes from.) Consequently, each column of the transpose contains only finitely many nonzero entries, and we obtain a map given by left multiplication. Likewise, if denotes the identity matrix, then provides a map given by left multiplication.


Theorem: Let be a row-finite graph with no sinks, and let denote the vertex matrix of . Then gives a well-defined map by left multiplication. Furthermore, In addition, if is unital (or, equivalently, is finite), then the isomorphism takes the class of the unit in to the class of the vector in .


Since is isomorphic to a subgroup of the free group , we may conclude that is a free group. It can be shown that in the general case (i.e., when is allowed to contain sinks or infinite emitters) that remains a free group. This allows one to produce examples of C*-algebras that are not graph C*-algebras: Any C*-algebra with a non-free K1-group is not Morita equivalent (and hence not isomorphic) to a graph C*-algebra.

See also

Notes

  1. ^ 2004 NSF-CBMS Conference on Graph Algebras [1]
  2. ^ NSF Award [2]
  3. ^ a b Cuntz-Krieger algebras of directed graphs, Alex Kumjian, David Pask, and Iain Raeburn, Pacific J. Math. 184 (1998), no. 1, 161–174.
  4. ^ The C*-algebras of row-finite graphs, Teresa Bates, David Pask, Iain Raeburn, and Wojciech Szymański, New York J. Math. 6 (2000), 307–324.
  5. ^ Graph algebras, Iain Raeburn, CBMS Regional Conference Series in Mathematics, 103. Published for the Conference Board of the Mathematical Sciences, Washington, DC; by the American Mathematical Society, Providence, RI, 2005. vi+113 pp. ISBN 0-8218-3660-9
  6. ^ Viewing AF-algebras as graph algebras, Doug Drinen, Proc. Amer. Math. Soc., 128 (2000), pp. 1991–2000.
  7. ^ The C*-algebras of arbitrary graphs, Doug Drinen and Mark Tomforde, Rocky Mountain J. Math. 35 (2005), no. 1, 105–135.
  8. ^ Chapter 5 of Graph algebras, Iain Raeburn, CBMS Regional Conference Series in Mathematics, 103. Published for the Conference Board of the Mathematical Sciences, Washington, DC; by the American Mathematical Society, Providence, RI, 2005. vi+113 pp. ISBN 0-8218-3660-9