Hooker reaction
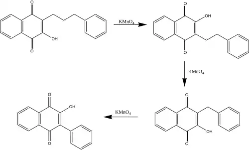
In the Hooker reaction (1936) an alkyl chain in a certain naphthoquinone (phenomenon first observed in the compound lapachol) is reduced by one methylene unit as carbon dioxide in each potassium permanganate oxidation.[1][2]
- Mechanistically oxidation causes ring-cleavage at the alkene group, extrusion of carbon dioxide in decarboxylation with subsequent ring-closure.
References
- ^ On the Oxidation of 2-Hydroxy-1,4-naphthoquinone Derivatives with Alkaline Potassium Permanganate Samuel C. Hooker J. Am. Chem. Soc. 1936; 58(7); 1174–79. doi:10.1021/ja01298a030
- ^ On the Oxidation of 2-Hydroxy-1,4-naphthoquinone Derivatives with Alkaline Potassium Permanganate. Part II. Compounds with Unsaturated Side Chains Samuel C. Hooker and Al Steyermark J. Am. Chem. Soc. 1936; 58(7); pp. 1179–81; doi:10.1021/ja01298a031
This article is issued from Wikipedia. The text is available under Creative Commons Attribution-Share Alike 4.0 unless otherwise noted. Additional terms may apply for the media files.

