Leonurine

Leonurine
Names
IUPAC name
4-(Diaminomethylideneamino)butyl 4-hydroxy-3,5-dimethoxybenzoate
Identifiers
3D model (JSmol)
ChemSpider
ECHA InfoCard 100.208.686
KEGG
UNII
  • InChI=1S/C14H21N3O5/c1-20-10-7-9(8-11(21-2)12(10)18)13(19)22-6-4-3-5-17-14(15)16/h7-8,18H,3-6H2,1-2H3,(H4,15,16,17) checkY
    Key: WNGSUWLDMZFYNZ-UHFFFAOYSA-N checkY
  • InChI=1/C14H21N3O5/c1-20-10-7-9(8-11(21-2)12(10)18)13(19)22-6-4-3-5-17-14(15)16/h7-8,18H,3-6H2,1-2H3,(H4,15,16,17)
    Key: WNGSUWLDMZFYNZ-UHFFFAOYAI
  • O=C(OCCCC/N=C(\N)N)c1cc(OC)c(O)c(OC)c1
Properties
C14H21N3O5
Molar mass 311.338 g·mol−1
Except where otherwise noted, data are given for materials in their standard state (at 25 °C [77 °F], 100 kPa).
☒N verify (what is checkY☒N ?)
Infobox references

Leonurine (also known as SCM-198 in research) is a pseudoalkaloid that has been isolated from Leonotis leonurus, Leonotis nepetifolia, Leonurus japonicus, Leonurus cardiaca (motherwort), Leonurus sibiricus, as well as other plants of family Lamiaceae. Leonurine is easily extracted into water.[1]

Research

Leonurine weakly binds to multiple GABA receptor sites including the GABAA receptor.[2][3] However, it shows much higher affinity as a 5-HT3A receptor antagonist.[4] 5-HT3A antagonists have been shown to help prevent nausea and vomiting as well as the negative effects of serotonin in the gastrointestinal tract.[5][6]

Leonurine can regulate a variety of functions including oxidative stress, inflammation, fibrosis, apoptosis, and metabolic disorder.[7][8][9]

Leonurine has demonstrated antidepressant-like action and has been shown to increase levels of serotonin, noradrenaline, and dopamine in chronic mild stress studies on mice and inhibits the production of pro-inflammatory cytokines.[10][11][12]

Leonurine has been investigated as a potential treatment for cardiovascular disorders.[13][14][15][16] It protects against oxidative damage from ischemic stroke and demonstrates neuroprotective activity against focal cerebral ischemia brain injury induced on rats.[17][18][19]

Leonurine protects mice from pneumonia induced by influenza A.[20]

Leonurine has demonstrated anti-cancer activity in vitro and in animal studies.[21][22][23][24][25]

Metabolites

Metabolites of leonurine in rats dosed orally include leonurine-10-O-sulfate (the sulfate conjugate of leonurine), leonurine-10-O-β-D-glucuronide (the glucuronide metabolite of leonurine) and an O-demethylated leonurine analog that has not yet had its structure definitively confirmed.[26]

Chemical synthesis

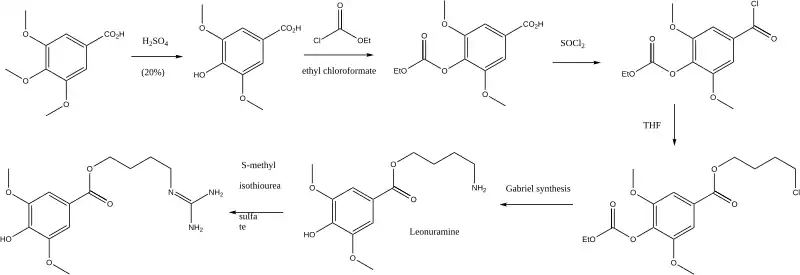
Leonurine can be synthesized starting from eudesmic acid. Reaction with sulfuric acid produces syringic acid. Protection with ethyl chloroformate followed by reaction with thionyl chloride (SOCl2) and then tetrahydrofuran yields 4-carboethoxysyringic acid 4-chloro-1-butyl ester. The chloride is then converted to an amino group via a Gabriel synthesis (with potassium phthalimide) followed by hydrazinolysis (Ing–Manske procedure). The final step is reaction of the amine with S-methylisothiourea hemisulfate salt.

Leonurine synthesis[1]

References

  1. ^ a b "The Leonurine and its preparation". An Hui New Star Pharmaceutical Development Co. 2008. Archived from the original on 2008-05-15. Retrieved 2008-08-28.
  2. ^ Çiçek SS (June 2018). "Structure-Dependent Activity of Natural GABA(A) Receptor Modulators". Molecules. 23 (7): 1512. doi:10.3390/molecules23071512. PMC 6100244. PMID 29932138.
  3. ^ Rauwald HW, Savtschenko A, Merten A, Rusch C, Appel K, Kuchta K (August 2015). "GABAA Receptor Binding Assays of Standardized Leonurus cardiaca and Leonurus japonicus Extracts as Well as Their Isolated Constituents". Planta Medica. 81 (12–13): 1103–1110. doi:10.1055/s-0033-1352395. PMID 26218338.
  4. ^ Hoffmann KM, Herbrechter R, Ziemba PM, Lepke P, Beltrán L, Hatt H, et al. (2016). "Kampo Medicine: Evaluation of the Pharmacological Activity of 121 Herbal Drugs on GABAA and 5-HT3A Receptors". Frontiers in Pharmacology. 7: 219. doi:10.3389/fphar.2016.00219. PMC 4965468. PMID 27524967.
  5. ^ Theriot J, Wermuth HR, Ashurst JV (2022). "Antiemetic Serotonin-5-HT3 Receptor Blockers". StatPearls. StatPearls Publishing. PMID 30020690.
  6. ^ "List of 5HT3 receptor antagonists (5hydroxytryptamine receptor antagonists)".
  7. ^ Li YY, Lin YK, Liu XH, Wang L, Yu M, Li DJ, et al. (February 2020). "Leonurine: From Gynecologic Medicine to Pleiotropic Agent". Chinese Journal of Integrative Medicine. 26 (2): 152–160. doi:10.1007/s11655-019-3453-0. PMID 31069695. S2CID 148571306.
  8. ^ Li N, Xu Q, Liu Q, Pan D, Jiang Y, Liu M, et al. (August 2017). "Leonurine attenuates fibroblast-like synoviocyte-mediated synovial inflammation and joint destruction in rheumatoid arthritis". Rheumatology. 56 (8): 1417–1427. doi:10.1093/rheumatology/kex142. PMID 28431044.
  9. ^ Zheng S, Zhuang T, Tang Y, Wu R, Xu T, Leng T, et al. (November 2021). "Leonurine protects against ulcerative colitis by alleviating inflammation and modulating intestinal microflora in mouse models". Experimental and Therapeutic Medicine. 22 (5): 1199. doi:10.3892/etm.2021.10633. PMC 8422400. PMID 34584544.
  10. ^ Jia M, Li C, Zheng Y, Ding X, Chen M, Ding J, et al. (November 2017). "Leonurine Exerts Antidepressant-Like Effects in the Chronic Mild Stress-Induced Depression Model in Mice by Inhibiting Neuroinflammation". The International Journal of Neuropsychopharmacology. 20 (11): 886–895. doi:10.1093/ijnp/pyx062. PMC 5737563. PMID 29016795.
  11. ^ Shi XR, Hong ZY, Liu HR, Zhang YC, Zhu YZ (July 2011). "Neuroprotective effects of SCM198 on 6-hydroxydopamine-induced behavioral deficit in rats and cytotoxicity in neuronal SH-SY5Y cells". Neurochemistry International. 58 (8): 851–860. doi:10.1016/j.neuint.2010.11.007. PMID 21093517. S2CID 33986318.
  12. ^ Liao L, Zhou M, Wang J, Xue X, Deng Y, Zhao X, et al. (4 November 2021). "Identification of the Antithrombotic Mechanism of Leonurine in Adrenalin Hydrochloride-Induced Thrombosis in Zebrafish via Regulating Oxidative Stress and Coagulation Cascade". Frontiers in Pharmacology. 12: 742954. doi:10.3389/fphar.2021.742954. PMC 8600049. PMID 34803688.
  13. ^ Huang L, Xu DQ, Chen YY, Yue SJ, Tang YP (February 2021). "Leonurine, a potential drug for the treatment of cardiovascular system and central nervous system diseases". Brain and Behavior. 11 (2): e01995. doi:10.1002/brb3.1995. PMC 7882174. PMID 33300684.
  14. ^ Wang R, Peng L, Lv D, Shang F, Yan J, Li G, et al. (February 2021). "Leonurine Attenuates Myocardial Fibrosis Through Upregulation of miR-29a-3p in Mice Post-myocardial Infarction". Journal of Cardiovascular Pharmacology. 77 (2): 189–199. doi:10.1097/FJC.0000000000000957. PMID 33235025. S2CID 227168673.
  15. ^ Zhu Q, Cai W, Sha X, Ma G, Zheng Y, Shi X, Zhu Y (April 2012). "Quantification of leonurine, a novel potential cardiovascular agent, in rat plasma by liquid chromatography-tandem mass spectrometry and its application to pharmacokinetic study in rats". Biomedical Chromatography. 26 (4): 518–523. doi:10.1002/bmc.1699. PMID 21882210.
  16. ^ Liu XH, Pan LL, Deng HY, Xiong QH, Wu D, Huang GY, et al. (January 2013). "Leonurine (SCM-198) attenuates myocardial fibrotic response via inhibition of NADPH oxidase 4". Free Radical Biology & Medicine. 54: 93–104. doi:10.1016/j.freeradbiomed.2012.10.555. PMID 23127783.
  17. ^ Xie YZ, Zhang XJ, Zhang C, Yang Y, He JN, Chen YX (September 2019). "Protective effects of leonurine against ischemic stroke in mice by activating nuclear factor erythroid 2-related factor 2 pathway". CNS Neuroscience & Therapeutics. 25 (9): 1006–1017. doi:10.1111/cns.13146. PMC 6698971. PMID 31087454.
  18. ^ Li F, Zhu S, Jiang Q, Hou C, Pang T, Zhang L, Li W (July 2021). "Novel Stachydrine-Leonurine Conjugate SL06 as a Potent Neuroprotective Agent for Cerebral Ischemic Stroke". ACS Chemical Neuroscience. 12 (13): 2478–2490. doi:10.1021/acschemneuro.1c00200. PMID 34180238. S2CID 235660771.
  19. ^ Liu H, Zhang X, Du Y, Ji H, Li S, Li L, et al. (September 2012). "Leonurine protects brain injury by increased activities of UCP4, SOD, CAT and Bcl-2, decreased levels of MDA and Bax, and ameliorated ultrastructure of mitochondria in experimental stroke". Brain Research. 1474: 73–81. doi:10.1016/j.brainres.2012.07.028. PMID 22842526. S2CID 24119195.
  20. ^ Qiu LN, Tan YR, Luo YJ, Chen XJ (September 2021). "Leonurine protects against influenza A virus infection-induced pneumonia in mice". Pathogens and Disease. 79 (7): ftab045. doi:10.1093/femspd/ftab045. PMID 34543397.
  21. ^ Zhuang Q, Ruan L, Jin T, Zheng X, Jin Z (September 2021). "Anti-leukaemia effects of leonurine in vitro and in vivo". General Physiology and Biophysics. 40 (5): 397–407. doi:10.4149/gpb_2021018. PMID 34602453.
  22. ^ Liu HM, Guo CL, Zhang YF, Chen JF, Liang ZP, Yang LH, Ma YP (2021). "Leonurine-Repressed miR-18a-5p/SOCS5/JAK2/STAT3 Axis Activity Disrupts CML malignancy". Frontiers in Pharmacology. 12: 657724. doi:10.3389/fphar.2021.657724. PMC 8087248. PMID 33935775.
  23. ^ Mao F, Zhang L, Cai MH, Guo H, Yuan HH (2 November 2015). "Leonurine hydrochloride induces apoptosis of H292 lung cancer cell by a mitochondria-dependent pathway". Pharmaceutical Biology. 53 (11): 1684–1690. doi:10.3109/13880209.2014.1001406. PMID 25856714. S2CID 207526411.
  24. ^ Lin M, Pan C, Xu W, Li J, Zhu X (15 May 2020). "Leonurine Promotes Cisplatin Sensitivity in Human Cervical Cancer Cells Through Increasing Apoptosis and Inhibiting Drug-Resistant Proteins". Drug Design, Development and Therapy. 14: 1885–1895. doi:10.2147/DDDT.S252112. PMC 7237110. PMID 32523334.
  25. ^ Li X, Xie Y, Qu W, Ou X, Ou X, Wang C, et al. (November 2020). "Breast Cancer Resistance Protein and Multidrug Resistance Protein 2 Mediate the Disposition of Leonurine-10-O-β-glucuronide". Current Drug Metabolism. 21 (13): 1060–1067. doi:10.2174/1389200221999201116142742. PMID 33198612. S2CID 226985047.
  26. ^ Zhu Q, Zhang J, Yang P, Tan B, Liu X, Zheng Y, et al. (2014). "Characterization of metabolites of leonurine (SCM-198) in rats after oral administration by liquid chromatography/tandem mass spectrometry and NMR spectrometry". TheScientificWorldJournal. 2014: 947946. doi:10.1155/2014/947946. PMC 3956552. PMID 24772041.

Further reading