Longifolene

(+)-Longifolene
Longifolene
Longifolene
Names
IUPAC name
(1R,2S,7S,9S)- 3,3,7-trimethyl- 8-methylenetricyclo- [5.4.0.02,9]undecane
Identifiers
3D model (JSmol)
5731712 2044263 4663756
ChEBI
ChemSpider
ECHA InfoCard 100.006.812
EC Number
  • (+): 207-491-2
UNII
  • InChI=1S/C15H24/c1-10-11-6-7-12-13(11)14(2,3)8-5-9-15(10,12)4/h11-13H,1,5-9H2,2-4H3/t11-,12-,13+,15-/m1/s1 ☒N
    Key: PDSNLYSELAIEBU-GUIRCDHDSA-N ☒N
  • (+): C[C@]12CCCC([C@@H]3[C@H]1CC[C@@H]3C2=C)(C)C
  • (−): C[C@@]12CCCC([C@H]3[C@@H]1CC[C@H]3C2=C)(C)C
Properties
C15H24
Molar mass 204.36 g/mol
Density 0.928 g/cm3
Boiling point 254 °C (489 °F; 527 K) (706 mm Hg)
Hazards
GHS labelling:
GHS07: Exclamation markGHS08: Health hazardGHS09: Environmental hazard
Danger
H304, H317, H410
P261, P272, P273, P280, P301+P310, P302+P352, P321, P331, P333+P313, P363, P391, P405, P501
Except where otherwise noted, data are given for materials in their standard state (at 25 °C [77 °F], 100 kPa).
☒N verify (what is checkY☒N ?)
Infobox references

Longifolene is a common sesquiterpene. It is an oily liquid hydrocarbon found primarily in the high-boiling fraction of certain pine resins. The name is derived from that of a pine species from which the compound was isolated.[1] It is a tricyclic chiral molecule. The enantiomer commonly found in pines and other higher plants exhibits a positive optical rotation of +42.73°. The other enantiomer (optical rotation −42.73°) is found in small amounts in certain fungi and liverworts.

Occurrence

Terpentine obtained from Pinus longifolia (obsolete name for Pinus roxburghii Sarg.) contains as much as 20% of longifolene.[2]

Longifolene is also one of two most abundant aroma constituents of lapsang souchong tea, because the tea is smoked over pinewood fires.[3]

Biosynthesis

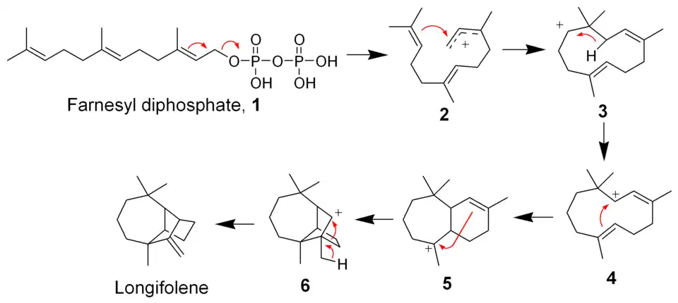
The biosynthesis of longifolene begins with farnesyl diphosphate (1) (also called farnesyl pyrophosphate) by means of a cationic polycyclization cascade. Loss of the pyrophosphate group and cyclization by the distal alkene gives intermediate 3, which by means of a 1,3-hydride shift gives intermediate 4. After two additional cyclizations, intermediate 6 produces longifolene by a 1,2-alkyl migration.

The biosynthesis of Longifolene
The biosynthesis of Longifolene

The laboratory characterization and synthesis of longifolene has long attracted attention.[4][5][6][7][8][9][10][11]

Longifolene total synthesis by Corey.svg
Longifolene total synthesis by Corey.svg
Longifolene total synthesis by Corey.svg

It reacts with borane to give the derivative dilongifolylborane, which is a chiral hydroborating agent.[12]

References

  1. ^ Sell, Charles S. (2006). "Terpenoids". Kirk-Othmer Encyclopedia of Chemical Technology. doi:10.1002/0471238961.2005181602120504.a01.pub2. ISBN 0471238961.
  2. ^ Gscheidmeier, Manfred; Fleig, Helmut (2000). "Turpentines". Ullmann's Encyclopedia of Industrial Chemistry. Weinheim: Wiley-VCH. doi:10.1002/14356007.a27_267. ISBN 3527306730.
  3. ^ Shan-Shan Yao; Wen-Fei Guo; YI Lu; Yuan-Xun Jiang, "Flavor Characteristics of Lapsang Souchong and Smoked Lapsang Souchong,a Special Chinese Black Tea with Pine Smoking Process", Journal of Agricultural and Food Chemistry, Vol. 53, No.22, (2005)
  4. ^ Naffa, P.; Ourisson, G. Bulletin de la Société chimique de France, 1954, 1410.
  5. ^ Corey, E. J.; Ohno, Masaji.; Mitra, Rajat B.; Vatakencherry, Paul A. (February 1964). "Total Synthesis of Longifolene". Journal of the American Chemical Society. 86 (3): 478–485. Bibcode:1964JAChS..86..478C. doi:10.1021/ja01057a039.
  6. ^ McMurry, John E.; Isser, Stephen J. (October 1972). "Total synthesis of longifolene". Journal of the American Chemical Society. 94 (20): 7132–7137. Bibcode:1972JAChS..94.7132M. doi:10.1021/ja00775a044.
  7. ^ Volkmann, Robert A.; Andrews, Glenn C.; Johnson, William S. (August 1975). "Novel Synthesis of Longifolene". Journal of the American Chemical Society. 97 (16): 4777–4779. Bibcode:1975JAChS..97.4777V. doi:10.1021/ja00849a062.
  8. ^ Oppolzer, Wolfgang; Godel, Thierry (April 1978). "A New and Efficient Total Synthesis of (.+-.)-longifolene". Journal of the American Chemical Society. 100 (8): 2583–2584. Bibcode:1978JAChS.100.2583O. doi:10.1021/ja00476a071.
  9. ^ Schultz, Arthur G.; Puig, Salvador (March 1985). "The Intramolecular Diene-Carbene Cycloaddition Equivalence and an Enantioselective Birch Reduction-Alkylation by the Chiral Auxiliary Approach. Total Synthesis of (.+-.)- and (−)-Longifolene". The Journal of Organic Chemistry. 50 (6): 915–916. doi:10.1021/jo00206a049.
  10. ^ Bo, Lei; Fallis, Alex G. (May 1990). "Direct total synthesis of (+)-longifolene via an intramolecular Diels-Alder strategy". Journal of the American Chemical Society. 112 (11): 4609–4610. Bibcode:1990JAChS.112.4609B. doi:10.1021/ja00167a105.
  11. ^ Ho, Gregory J. Org. Chem. 2005, 70, 5139 -5143.
  12. ^ Dev, Sukh (1981). "Aspects of Longifolene chemistry. An example of another Facet of natural products chemistry". Accounts of Chemical Research. 14 (3): 82–88. doi:10.1021/ar00063a004.