Polyphenol

Representative chemical structure of one of many plant-derived polyphenols that comprise tannic acid. Such compounds are formed by esterification of phenylpropanoid-derived gallic acid to a monosaccharide (glucose) core.

Polyphenols (/ˌpɒliˈfnl, -nɒl/) are a large family of naturally occurring phenols.[1] They are abundant in plants and structurally diverse.[1][2][3] Polyphenols include phenolic acids, flavonoids, tannic acid, and ellagitannin, some of which have been used historically as dyes and for tanning garments.

Curcumin, a bright yellow component of turmeric (Curcuma longa), is a well-studied polyphenol.

Etymology

The name derives from the Ancient Greek word πολύς (polus, meaning "many, much") and the word ‘phenol’ which refers to a chemical structure formed by attachment of an aromatic benzenoid (phenyl) ring to a hydroxyl (-OH) group (hence the -ol suffix). The term "polyphenol" has been in use at least since 1894.[4]

Definition

Ellagic acid, a polyphenol

Polyphenols are natural products with "several hydroxyl groups on aromatic rings", including four principal classes: phenolic acids, flavonoids, stilbenes, and lignans.[2][5] Flavonoids can be grouped as flavones, flavonols, flavanols, flavanones, isoflavones, proanthocyanidins, and anthocyanins.[2] Particularly abundant flavanoids in foods are catechin (tea, fruits), hesperetin (citrus fruits), cyanidin (red fruits and berries), daidzein (soybean), proanthocyanidins (apple, grape, cocoa), and quercetin (onion, tea, apples).[2] Polyphenols also include phenolic acids, such as caffeic acid, and lignans, which are derived from phenylalanine present in flax seed and other cereals.[2]

WBSSH definition

The White–Bate-Smith–Swain–Haslam (WBSSH) definition[6] characterized structural characteristics common to plant phenolics used in tanning (i.e., the tannins).[7]

In terms of properties, the WBSSH describes the polyphenols as follows:

  • generally moderately water-soluble compounds
  • with molecular weight of 500–4000 Da
  • with >12 phenolic hydroxyl groups
  • with 5–7 aromatic rings per 1000 Da

In terms of structures, the WBSSH recognizes two structural family that have these properties:

  • proanthocyanidins and its derivatives
  • galloyl and hexahydroxydiphenoyl esters and their derivatives

Quideau definition

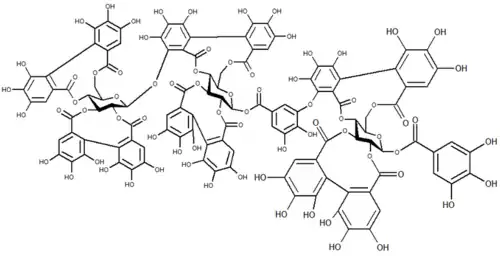
Raspberry ellagitannin, a tannin composed of 14 gallic acid units around a core of three units of glucose, with two gallic acids as simple esters, and the remaining 12 appearing in 6 ellagic acid-type units. Ester, ether, and biaryl linkages are present, see below.

According to Stéphane Quideau, the term "polyphenol" refers to compounds derived from the shikimate/phenylpropanoid and/or the polyketide pathway, featuring more than one phenolic unit and deprived of nitrogen-based functions.[8]

Ellagic acid, a molecule at the core of naturally occurring phenolic compounds of varying sizes, is itself not a polyphenol by the WBSSH definition, but is by the Quideau definition. The raspberry ellagitannin,[9] on the other hand, with its 14 gallic acid moieties (most in ellagic acid-type components), and more than 40 phenolic hydroxyl groups, meets the criteria of both definitions of a polyphenol. Other examples of compounds that fall under both the WBSSH and Quideau definitions include the black tea theaflavin-3-gallate shown below, and the hydrolyzable tannin, tannic acid.

Chemistry

Theaflavin-3-gallate, a plant-derived polyphenol, an ester of gallic acid and a theaflavin core. There are nine phenolic hydroxyl groups and two phenolic ether linkages.

Polyphenols are reactive species toward oxidation, hence their description as antioxidants in vitro.[10]

Structure

Polyphenols, such as lignin, are larger molecules (macromolecules). Their upper molecular weight limit is about 800 daltons, which allows for the possibility to rapidly diffuse across cell membranes so that they can reach intracellular sites of action or remain as pigments once the cell senesces. Hence, many larger polyphenols are biosynthesized in situ from smaller polyphenols to non-hydrolyzable tannins and remain undiscovered in the plant matrix. Most polyphenols contain repeating phenolic moieties of pyrocatechol, resorcinol, pyrogallol, and phloroglucinol connected by esters (hydrolyzable tannins) or more stable C-C bonds (nonhydrolyzable condensed tannins). Proanthocyanidins are mostly polymeric units of catechin and epicatechin.

The C-glucoside substructure of polyphenols is exemplified by the phenol-saccharide conjugate puerarin, a midmolecular-weight plant natural product. The attachment of the phenol to the saccharide is by a carbon-carbon bond. The isoflavone and its 10-atom benzopyran "fused ring" system, also a structural feature here, is common in polyphenols.

Polyphenols often have functional groups beyond hydroxyl groups. Ether ester linkages are common, as are carboxylic acids.

An example of a synthetically achieved small ellagitannin, tellimagrandin II, derived biosynthetically and sometimes synthetically by oxidative joining of two of the galloyl moieties of 1,2,3,4,6-pentagalloyl-glucose

Analytical chemistry

The analysis techniques are those of phytochemistry: extraction, isolation, structural elucidation,[11] then quantification.

Reactivity

Polyphenols readily react with metal ions to form coordination complexes, some of which form metal-phenolic networks.[12]

Extraction

Extraction of polyphenols[13] can be performed using a solvent like water, hot water, methanol, methanol/formic acid, methanol/water/acetic or formic acid. Liquid–liquid extraction can be also performed or countercurrent chromatography. Solid phase extraction can also be made on C18 sorbent cartridges. Other techniques are ultrasonic extraction, heat reflux extraction, microwave-assisted extraction,[14] critical carbon dioxide,[15][16] high-pressure liquid extraction[17] or use of ethanol in an immersion extractor.[18] The extraction conditions (temperature, extraction time, ratio of solvent to raw material, particle size of the sample, solvent type, and solvent concentrations) for different raw materials and extraction methods have to be optimized.[19][20]

Mainly found in the fruit skins and seeds, high levels of polyphenols may reflect only the measured extractable polyphenol (EPP) content of a fruit which may also contain non-extractable polyphenols. Black tea contains high amounts of polyphenol and makes up for 20% of its weight.[21]

Concentration can be made by ultrafiltration.[22] Purification can be achieved by preparative chromatography.

Analysis techniques

Reversed-phase HPLC plot of separation of phenolic compounds. Smaller natural phenols formed individual peaks while tannins form a hump.

Phosphomolybdic acid is used as a reagent for staining phenolics in thin layer chromatography. Polyphenols can be studied by spectroscopy, especially in the ultraviolet domain, by fractionation or paper chromatography. They can also be analysed by chemical characterisation.

Instrumental chemistry analyses include separation by high performance liquid chromatography (HPLC), and especially by reversed-phase liquid chromatography (RPLC), can be coupled to mass spectrometry.[15]

Microscopy analysis

The DMACA reagent is an histological dye specific to polyphenols used in microscopy analyses. The autofluorescence of polyphenols can also be used, especially for localisation of lignin and suberin. Where fluorescence of the molecules themselves is insufficient for visualization by light microscopy, DPBA (diphenylboric acid 2-aminoethyl ester, also referred to as Naturstoff reagent A) has traditionally been used, at least in plant science, to enhance the fluorescence signal.[23]

Quantification

Polyphenolic content in vitro can be quantified by volumetric titration. An oxidizing agent, permanganate, is used to oxidize known concentrations of a standard tannin solution, producing a standard curve. The tannin content of the unknown is then expressed as equivalents of the appropriate hydrolyzable or condensed tannin.[24]

Some methods for quantification of total polyphenol content in vitro are based on colorimetric measurements. Some tests are relatively specific to polyphenols (for instance the Porter's assay). Total phenols (or antioxidant effect) can be measured using the Folin–Ciocalteu reaction.[15] Results are typically expressed as gallic acid equivalents. Polyphenols are seldom evaluated by antibody technologies.[25]

Other tests measure the antioxidant capacity of a fraction. Some make use of the ABTS radical cation which is reactive towards most antioxidants including phenolics, thiols and vitamin C.[26] During this reaction, the blue ABTS radical cation is converted back to its colorless neutral form. The reaction may be monitored spectrophotometrically. This assay is often referred to as the Trolox equivalent antioxidant capacity (TEAC) assay. The reactivity of the various antioxidants tested are compared to that of Trolox, which is a vitamin E analog.

Other antioxidant capacity assays which use Trolox as a standard include the diphenylpicrylhydrazyl (DPPH), oxygen radical absorbance capacity (ORAC),[27] ferric reducing ability of plasma (FRAP)[28] assays or inhibition of copper-catalyzed in vitro human low-density lipoprotein oxidation.[29]

New methods including the use of biosensors can help monitor the content of polyphenols in food.[30]

Quantitation results produced by the mean of diode array detector–coupled HPLC are generally given as relative rather than absolute values as there is a lack of commercially available standards for all polyphenolic molecules.

Applications

Some polyphenols are traditionally used as dyes in leather tanning. For instance, in the Indian subcontinent, pomegranate peel, high in tannins and other polyphenols, or its juice, is employed in the dyeing of non-synthetic fabrics.[31]

Of some interest in the era of silver-based photography, pyrogallol and pyrocatechin are among the oldest photographic developers.[32][33]

Aspirational use as green chemicals

Natural polyphenols have long been proposed as renewable precursors to produce plastics or resins by polymerization with formaldehyde,[34] as well as adhesives for particleboards.[35] The aims are generally to make use of plant residues from grape, olive (called pomaces), or pecan shells left after processing.[15]

Occurrence

The most abundant polyphenols are the condensed tannins, found in virtually all families of plants. Larger polyphenols are often concentrated in leaf tissue, the epidermis, bark layers, flowers and fruits but also play important roles in the decomposition of forest litter, and nutrient cycles in forest ecology. Absolute concentrations of total phenols in plant tissues differ widely depending on the literature source, type of polyphenols and assay; they are in the range of 1–25% total natural phenols and polyphenols, calculated with reference to the dry green leaf mass.[36]

Polyphenols are also found in animals. In arthropods, such as insects,[37] and crustaceans[38] polyphenols play a role in epicuticle hardening (sclerotization). The hardening of the cuticle is due to the presence of a polyphenol oxidase.[39] In crustaceans, there is a second oxidase activity leading to cuticle pigmentation.[40] There is apparently no polyphenol tanning occurring in arachnids cuticle.[41]

Biochemistry

Polyphenols are thought to play diverse roles in the ecology of plants. These functions include:[42]

  • Release and suppression of growth hormones such as auxin.
  • UV screens to protect against ionizing radiation and to provide coloration (plant pigments).[5]
  • Deterrence of herbivores (sensory properties).
  • Prevention of microbial infections (phytoalexins).[5][43]
  • Signaling molecules in ripening and other growth processes.
  • In some woods can explain their natural preservation against rot.[44]

Flax and Myriophyllum spicatum (a submerged aquatic plant) secrete polyphenols that are involved in allelopathic interactions.[45][46]

Biosynthesis and metabolism

Polyphenols incorporate smaller parts and building blocks from simpler natural phenols, which originate from the phenylpropanoid pathway for the phenolic acids or the shikimic acid pathway for gallotannins and analogs. Flavonoids and caffeic acid derivatives are biosynthesized from phenylalanine and malonyl-CoA. Complex gallotannins develop through the in vitro oxidation of 1,2,3,4,6-pentagalloylglucose or dimerization processes resulting in hydrolyzable tannins. For anthocyanidins, precursors of the condensed tannin biosynthesis, dihydroflavonol reductase and leucoanthocyanidin reductase (LAR) are crucial enzymes with subsequent addition of catechin and epicatechin moieties for larger, non-hydrolyzable tannins.[47]

The glycosylated form develops from glucosyltransferase activity and increases the solubility of polyphenols.[48]

Polyphenol oxidase (PPO) is an enzyme that catalyses the oxidation of o-diphenols to produce o-quinones. It is the rapid polymerisation of o-quinones to produce black, brown or red polyphenolic pigments that causes fruit browning. In insects, PPO is involved in cuticle hardening.[49]

Occurrence in food

Polyphenols comprise up to 0.2–0.3% fresh weight for many fruits. Consuming common servings of wine, chocolate, legumes or tea may also contribute to about one gram of intake per day.[2][50] According to a 2005 review on polyphenols:

The most important food sources are commodities widely consumed in large quantities such as fruit and vegetables, green tea, black tea, red wine, coffee, chocolate, olives, and extra virgin olive oil. Herbs and spices, nuts and algae are also potentially significant for supplying certain polyphenols. Some polyphenols are specific to particular food (flavanones in citrus fruit, isoflavones in soya, phloridzin in apples); whereas others, such as quercetin, are found in all plant products such as fruit, vegetables, cereals, leguminous plants, tea, and wine.[51]

Some polyphenols are considered antinutrients – compounds that interfere with the absorption of essential nutrients – especially iron and other metal ions, which may bind to digestive enzymes and other proteins, particularly in ruminants.[52]

In a comparison of cooking methods, phenolic and carotenoid levels in vegetables were retained better by steaming compared to frying.[53] Polyphenols in wine, beer and various nonalcoholic juice beverages can be removed using finings, substances that are usually added at or near the completion of the processing of brewing.

Astringency

With respect to food and beverages, the cause of astringency is not fully understood, but it is measured chemically as the ability of a substance to precipitate proteins.[54]

Astringency increases and bitterness decrease with the mean degree of polymerization. For water-soluble polyphenols, molecular weights between 500 and 3000 were reported to be required for protein precipitation. However, smaller molecules might still have astringent qualities likely due to the formation of unprecipitated complexes with proteins or cross-linking of proteins with simple phenols that have 1,2-dihydroxy or 1,2,3-trihydroxy groups.[55] Flavonoid configurations can also cause significant differences in sensory properties, e.g., epicatechin, is more bitter and astringent than its chiral isomer catechin. In contrast, hydroxycinnamic acids do not have astringent qualities, but are bitter.[56]

Research

Polyphenols are a large, diverse group of compounds, which makes it challenging to determine their biological effects.[57] They are not considered nutrients, as they do not contribute to growth, survival, or reproduction, nor do they provide dietary energy. Therefore, they do not have recommended recommended daily intake levels, such as those for vitamins, minerals, and fiber.[58][59][60] In the United States, the Food and Drug Administration issued guidance to manufacturers that polyphenols cannot be mentioned on food labels as antioxidant nutrients unless physiological evidence exists to verify such a qualification and a Dietary Reference Intake value has been established – characteristics which have not been determined for polyphenols.[61][62]

In the European Union, two health claims were authorized between 2012 and 2015: 1) flavanols in cocoa solids at doses exceeding 200 mg per day may contribute to maintenance of vascular elasticity and normal blood flow;[63][64] and 2) olive oil polyphenols (5 mg of hydroxytyrosol and its derivatives such as oleuropein complex and tyrosol) may "contribute to the protection of blood lipids from oxidative damage", if consumed daily.[65][66]

As of 2022, clinical trials that assessed the effect of polyphenols on health biomarkers are limited, with results difficult to interpret due to the wide variation of intake values for both individual polyphenols and total polyphenols.[67]

Polyphenols were once considered as antioxidants, but this concept is obsolete.[68] Most polyphenols are metabolized by catechol-O-methyltransferase, and therefore do not have the chemical structure allowing antioxidant activity in vivo; they may exert biological activity as signaling molecules.[2][62][68] Some polyphenols are considered to be bioactive compounds[69] for which development of dietary recommendations was under consideration in 2017.[70]

Cardiovascular diseases

In the 1930s, polyphenols (then called vitamin P) were considered as a factor in capillary permeability, followed by various studies through the 21st century of a possible effect on cardiovascular diseases. For most polyphenols, there is no evidence for an effect on cardiovascular regulation, although there are some reviews showing a minor effect of consuming polyphenols, such as chlorogenic acid or flavan-3-ols, on blood pressure.[71][72][73]

Cancer

Higher intakes of soy isoflavones may be associated with reduced risks of breast cancer in postmenopausal women and prostate cancer in men.[2]

A 2019 systematic review found that intake of soy and soy isoflavones is associated with a lower risk of mortality from gastric, colorectal, breast and lung cancers.[74] The study found that an increase in isoflavone consumption by 10 mg per day was associated with a 7% decrease in risk from all cancers, and an increase in consumption of soy protein by 5 grams per day produced a 12% reduction in breast cancer risk.[74]

Cognitive function

Polyphenols are under preliminary research for possible cognitive effects in healthy adults.[75][76]

Phytoestrogens

Isoflavones, which are structurally related to 17β-estradiol, are classified as phytoestrogens.[77] A risk assessment by the European Food Safety Authority found no cause for concern when isoflavones are consumed in a normal diet.[78]

Phlebotonic

Phlebotonics of heterogeneous composition, consisting partly of citrus peel extracts (flavonoids, such as hesperidin) and synthetic compounds, are used to treat chronic venous insufficiency and hemorrhoids.[79] Some are non-prescription dietary supplements, such as diosmin,[79] while one other – Vasculera (Diosmiplex) – is a prescription medical food intended for treating venous disorders.[80] Their mechanism of action is undefined,[79] and clinical evidence of benefit for using phlebotonics to treat venous diseases is limited.[79]

Gut microbiome

Polyphenols are extensively metabolized by the gut microbiota and are investigated as a potential metabolic factor in function of the gut microbiota.[81][82]

Toxicity and adverse effects

Adverse effects of polyphenol intake range from mild (e.g., gastrointestinal tract symptoms)[2] to severe (e.g., hemolytic anemia or hepatotoxicity).[83] In 1988, hemolytic anemia following polyphenol consumption was documented, resulting in the withdrawal of a catechin-containing drug.[84] Polyphenols, particularly in beverages that contain them in high concentrations (tea, coffee, etc), inhibit the absorption of non-haem iron when consumed together in a single meal.[2][85][86][87] Research is limited on the effect of this inhibition on iron status.[88]

Metabolism of polyphenols can result in flavonoid-drug interactions, such as in grapefruit–drug interactions, which involves inhibition of the liver enzyme, CYP3A4, likely by grapefruit furanocoumarins, a class of polyphenol.[2][83] The European Food Safety Authority established upper limits for some polyphenol-containing supplements and additives, such as green tea extract or curcumin.[89][90] For most polyphenols found in the diet, an adverse effect beyond nutrient-drug interactions is unlikely.[2]

See also

References

  1. ^ a b Quideau S, Deffieux D, Douat-Casassus C, et al. (January 2011). "Plant polyphenols: chemical properties, biological activities, and synthesis". Angewandte Chemie. 50 (3): 586–621. doi:10.1002/anie.201000044. PMID 21226137.
  2. ^ a b c d e f g h i j k l "Flavonoids". Micronutrient Information Center, Linus Pauling Institute, Oregon State University. 1 February 2016. Retrieved 28 October 2020.
  3. ^ Nonaka G (1989). "Isolation and structure elucidation of tannins" (PDF). Pure Appl. Chem. 61 (3): 357–360. doi:10.1351/pac198961030357. S2CID 84226096.
  4. ^ "Polyphenol". Merriam-Webster, Inc. 2019. Retrieved 23 February 2019.
  5. ^ a b c Manach C, Scalbert A, Morand C, et al. (May 2004). "Polyphenols: food sources and bioavailability". The American Journal of Clinical Nutrition. 79 (5): 727–747. doi:10.1093/ajcn/79.5.727. PMID 15113710.
  6. ^ Haslam E, Cai Y (January 1994). "Plant polyphenols (vegetable tannins): gallic acid metabolism". Natural Product Reports. 11 (1): 41–66. doi:10.1039/NP9941100041. PMID 15206456.
  7. ^ Practical Polyphenolics, Edwin Haslam, 1998, ISBN 0-521-46513-3
  8. ^ Quideau S (2013). "Plant Polyphenols". Encyclopedia of Life Sciences. doi:10.1002/9780470015902.a0001913.pub2. ISBN 978-0-470-01617-6.
  9. ^ "Cardiovascular disease and phytochemicals. Anonymous. C. Hamilton et al".
  10. ^ Martín Santos MA, Bonilla Venceslada JL, Martín Martín A, et al. (2005). "Estimating the selectivity of ozone in the removal of polyphenols from vinasse". Journal of Chemical Technology and Biotechnology. 80 (4): 433–438. Bibcode:2005JCTB...80..433M. doi:10.1002/jctb.1222. INIST 16622840.
  11. ^ Owen RW, Haubner R, Hull WE, et al. (December 2003). "Isolation and structure elucidation of the major individual polyphenols in carob fibre". Food and Chemical Toxicology. 41 (12): 1727–1738. doi:10.1016/S0278-6915(03)00200-X. PMID 14563398.
  12. ^ Geng H (2022). "Metal Ion-Directed Functional Metal−Phenolic Materials". Chemical Reviews. 122 (13): 11432–11473. doi:10.1021/acs.chemrev.1c01042. PMID 35537069.
  13. ^ Escribano-Bailon MT, Santos-Buelga C (2003). "Polyphenol Extraction From Foods" (PDF). In Santos-Buelga C, Williamson G (eds.). Methods in Polyphenol Analysis. Royal Society of Chemistry. pp. 1–16. ISBN 978-0-85404-580-8.
  14. ^ Pan X (2003). "Microwave-assisted extraction of tea polyphenols and tea caffeine from green tea leaves". Chemical Engineering and Processing. 42 (2): 129–133. Bibcode:2003CEPPI..42..129P. doi:10.1016/S0255-2701(02)00037-5.
  15. ^ a b c d Aizpurua-Olaizola O, Ormazabal M, Vallejo A, et al. (January 2015). "Optimization of supercritical fluid consecutive extractions of fatty acids and polyphenols from Vitis vinifera grape wastes". Journal of Food Science. 80 (1): E101 – E107. doi:10.1111/1750-3841.12715. PMID 25471637.
  16. ^ Palma M, Taylor LT (July 1999). "Extraction of polyphenolic compounds from grape seeds with near critical carbon dioxide". Journal of Chromatography A. 849 (1): 117–124. doi:10.1016/S0021-9673(99)00569-5. PMID 10444839.
  17. ^ Alonso-Salces RM, Korta E, Barranco A, et al. (November 2001). "Pressurized liquid extraction for the determination of polyphenols in apple". Journal of Chromatography A. 933 (1–2): 37–43. doi:10.1016/S0021-9673(01)01212-2. PMID 11758745.
  18. ^ Sineiro J, Domínguez H, Núñez MJ, et al. (1996). "Ethanol extraction of polyphenols in an immersion extractor. Effect of pulsing flow". Journal of the American Oil Chemists' Society. 73 (9): 1121–1125. doi:10.1007/BF02523372. S2CID 96009875.
  19. ^ Papoutsis K, Pristijono P, Golding J, et al. (2018). "Screening the effect of four ultrasound-assisted extraction parameters on hesperidin and phenolic acid content of aqueous citrus pomace extracts" (PDF). Food Bioscience. 21: 20–26. doi:10.1016/j.fbio.2017.11.001.
  20. ^ Papoutsis K, Vuong Q, Golding J, et al. (2018). "Pretreatment of citrus by-products affects polyphenol recovery: a review" (PDF). Food Reviews International. 34 (8): 770–795. doi:10.1080/87559129.2018.1438471. hdl:11336/87660. S2CID 89981908.
  21. ^ Arranz S, Saura-Calixto F, Shaha S, et al. (August 2009). "High contents of nonextractable polyphenols in fruits suggest that polyphenol contents of plant foods have been underestimated". Journal of Agricultural and Food Chemistry. 57 (16): 7298–7303. doi:10.1021/jf9016652. hdl:10261/82508. PMID 19637929.
  22. ^ Nawaz H, Shi J, Mittal GS, et al. (2006). "Extraction of polyphenols from grape seeds and concentration by ultrafiltration". Separation and Purification Technology. 48 (2): 176–181. doi:10.1016/j.seppur.2005.07.006.
  23. ^ Ferrara BT, Thompson EP (February 2019). "A method for visualizing fluorescence of flavonoid therapeutics in vivo in the model eukaryote Dictyostelium discoideum". BioTechniques (Paper). 66 (2): 65–71. doi:10.2144/btn-2018-0084. PMID 30744410.Open access icon
  24. ^ Tempel AS (October 1982). "Tannin-measuring techniques : A review". Journal of Chemical Ecology. 8 (10): 1289–1298. Bibcode:1982JCEco...8.1289T. doi:10.1007/BF00987762. PMID 24414735. S2CID 39848160.
  25. ^ Gani M, Mcguinness BJ, Da Vies AP (1998). "Monoclonal antibodies against tea polyphenols: A novel immunoassay to detect polyphenols in biological fluids". Food and Agricultural Immunology. 10: 13–22. doi:10.1080/09540109809354964.
  26. ^ Walker RB, Everette JD (February 2009). "Comparative reaction rates of various antioxidants with ABTS radical cation". Journal of Agricultural and Food Chemistry. 57 (4): 1156–1161. doi:10.1021/jf8026765. PMID 19199590.
  27. ^ Roy MK, Koide M, Rao TP, et al. (March 2010). "ORAC and DPPH assay comparison to assess antioxidant capacity of tea infusions: relationship between total polyphenol and individual catechin content". International Journal of Food Sciences and Nutrition. 61 (2): 109–124. doi:10.3109/09637480903292601. PMID 20109129. S2CID 1929167.
  28. ^ Pulido R, Bravo L, Saura-Calixto F (August 2000). "Antioxidant activity of dietary polyphenols as determined by a modified ferric reducing/antioxidant power assay". Journal of Agricultural and Food Chemistry. 48 (8): 3396–3402. doi:10.1021/jf9913458. hdl:10261/112476. PMID 10956123.
  29. ^ Meyer AS, Yi OS, Pearson DA, et al. (1997). "Inhibition of Human Low-Density Lipoprotein Oxidation in Relation to Composition of Phenolic Antioxidants in Grapes (Vitis vinifera)". Journal of Agricultural and Food Chemistry. 45 (5): 1638–1643. doi:10.1021/jf960721a.
  30. ^ Mello LD, Sotomayor MD, Kubota LT (2003). "HRP-based amperometric biosensor for the polyphenols determination in vegetables extract". Sensors and Actuators B: Chemical. 96 (3): 636–645. Bibcode:2003SeAcB..96..636M. doi:10.1016/j.snb.2003.07.008.
  31. ^ Jindal KK, Sharma RC (2004). Recent trends in horticulture in the Himalayas. Indus Publishing. ISBN 978-81-7387-162-7. ... bark of tree and rind of fruit is commonly used in ayurveda ... also used for dyeing ...
  32. ^ Anchell SG, Troop B (1998). The Film Developing Cookbook. p. 25. ISBN 978-0240802770.
  33. ^ Gernsheim H, Gernsheim A (1969). The History of PHOTOGRAPHY (2nd ed.). Oxford University Press. pp. 38, 79, 81, 89, 90–91, 176–177, etc.
  34. ^ Hillis WE, Urbach G (1959). "Reaction of polyphenols with formaldehyde". Journal of Applied Chemistry. 9 (12): 665–673. doi:10.1002/jctb.5010091207.
  35. ^ Pizzi A, Valenezuela J, Westermeyer C (1994). "Low formaldehyde emission, fast pressing, pine and pecan tannin adhesives for exterior particleboard". Holz als Roh- und Werkstoff. 52 (5): 311–315. doi:10.1007/BF02621421. S2CID 36500389.
  36. ^ Hättenschwiler S, Vitousek PM (June 2000). "The role of polyphenols in terrestrial ecosystem nutrient cycling". Trends in Ecology & Evolution. 15 (6): 238–243. doi:10.1016/S0169-5347(00)01861-9. PMID 10802549.
  37. ^ Wigglesworth VB (1988). "The source of lipids and polyphenols for the insect cuticle: The role of fat body, oenocytes and oenocytoids". Tissue & Cell. 20 (6): 919–932. doi:10.1016/0040-8166(88)90033-X. PMID 18620248.
  38. ^ Dennell R (September 1947). "The occurrence and significance of phenolic hardening in the newly formed cuticle of Crustacea Decapoda". Proceedings of the Royal Society of Medicine. 134 (877): 485–503. Bibcode:1947RSPSB.134..485D. doi:10.1098/rspb.1947.0027. PMID 20265564.
  39. ^ Locke M, Krishnan N (1971). "The distribution of phenoloxidases and polyphenols during cuticle formation". Tissue & Cell. 3 (1): 103–126. doi:10.1016/S0040-8166(71)80034-4. PMID 18631545.
  40. ^ Krishnan G (September 1951). "Phenolic Tanning and Pigmentation of the Cuticle in Carcinus maenas". Quarterly Journal of Microscopical Science. 92 (19): 333–342.
  41. ^ Krishnan G (September 1954). "The Epicuticle of an Arachnid, Palamneus swammerdami". Quarterly Journal of Microscopical Science. 95 (31): 371–381.
  42. ^ V. Lattanzio et al. (2006). "Role of phenolics in the resistance mechanisms of plants against fungal pathogens and insects" (and references therein). Phytochemistry: Advances in Research, 23–67. ISBN 81-308-0034-9.
  43. ^ Huber B, Eberl L, Feucht W, et al. (2003). "Influence of polyphenols on bacterial biofilm formation and quorum-sensing". Zeitschrift für Naturforschung C. 58 (11–12): 879–884. doi:10.1515/znc-2003-11-1224. PMID 14713169. S2CID 25764128.
  44. ^ Hart JH, Hillis WE (1974). "Inhibition of wood-rotting fungi by stilbenes and other polyphenols in Eucalyptus sideroxylon". Phytopathology. 64 (7): 939–948. doi:10.1094/Phyto-64-939.
  45. ^ Popa VI, Dumitru M, Volf I, et al. (2008). "Lignin and polyphenols as allelochemicals". Industrial Crops and Products. 27 (2): 144–149. doi:10.1016/j.indcrop.2007.07.019.
  46. ^ Nakai S (2000). "Myriophyllum spicatum-released allelopathic polyphenols inhibiting growth of blue-green algae Microcystis aeruginosa". Water Research. 34 (11): 3026–3032. Bibcode:2000WatRe..34.3026N. doi:10.1016/S0043-1354(00)00039-7.
  47. ^ Tanner GJ, Francki KT, Abrahams S, et al. (August 2003). "Proanthocyanidin biosynthesis in plants. Purification of legume leucoanthocyanidin reductase and molecular cloning of its cDNA". The Journal of Biological Chemistry. 278 (34): 31647–31656. doi:10.1074/jbc.M302783200. PMID 12788945.
  48. ^ Krasnow MN, Murphy TM (June 2004). "Polyphenol glucosylating activity in cell suspensions of grape (Vitis vinifera)". Journal of Agricultural and Food Chemistry. 52 (11): 3467–3472. doi:10.1021/jf035234r. PMID 15161217.
  49. ^ Malek SR (1961). "Polyphenols and their quinone derivatives in the cuticle of the desert locust, Schistocerca gregaria (Forskål)". Comparative Biochemistry and Physiology. 2: 35–77. doi:10.1016/0010-406X(61)90071-8.
  50. ^ Pandey KB, Rizvi SI (2009). "Plant polyphenols as dietary antioxidants in human health and disease". Oxidative Medicine and Cellular Longevity. 2 (5): 270–278. doi:10.4161/oxim.2.5.9498. PMC 2835915. PMID 20716914.
  51. ^ D'Archivio M, Filesi C, Varì R, et al. (March 2010). "Bioavailability of the polyphenols: status and controversies". International Journal of Molecular Sciences. 11 (4): 1321–1342. doi:10.3390/ijms11041321. PMC 2871118. PMID 20480022.
  52. ^ Mennen LI, Walker R, Bennetau-Pelissero C, et al. (January 2005). "Risks and safety of polyphenol consumption". The American Journal of Clinical Nutrition. 81 (1 Suppl): 326S – 329S. doi:10.1093/ajcn/81.1.326S. PMID 15640498.
  53. ^ Miglio C, Chiavaro E, Visconti A, et al. (January 2008). "Effects of different cooking methods on nutritional and physicochemical characteristics of selected vegetables". Journal of Agricultural and Food Chemistry. 56 (1): 139–147. doi:10.1021/jf072304b. PMID 18069785.
  54. ^ Staff, Sensory Society. Basic Tastes: Astringency Archived 27 September 2013 at the Wayback Machine
  55. ^ Lesschaeve I, Noble AC (January 2005). "Polyphenols: factors influencing their sensory properties and their effects on food and beverage preferences". The American Journal of Clinical Nutrition. 81 (1 Suppl): 330S – 335S. doi:10.1093/ajcn/81.1.330S. PMID 15640499.
  56. ^ Hufnagel JC, Hofmann T (February 2008). "Orosensory-directed identification of astringent mouthfeel and bitter-tasting compounds in red wine". Journal of Agricultural and Food Chemistry. 56 (4): 1376–1386. doi:10.1021/jf073031n. PMID 18193832.
  57. ^ Cory H, Passarelli S, Szeto J, et al. (21 September 2018). "The Role of Polyphenols in Human Health and Food Systems: A Mini-Review". Frontiers in Nutrition. 5: 87. doi:10.3389/fnut.2018.00087. PMC 6160559. PMID 30298133.
  58. ^ "Dietary Reference Values for nutrients: Summary report". EFSA Supporting Publications. 14 (12). European Food Safety Authority. 4 September 2019. doi:10.2903/sp.efsa.2017.e15121.
  59. ^ "Vitamins and minerals". UK National Health Service. 3 August 2020. Retrieved 25 August 2022.
  60. ^ "Vitamins and minerals". National Agricultural Library, US Department of Agriculture. 2022. Retrieved 25 August 2022.
  61. ^ "Guidance for Industry: Food Labeling; Nutrient Content Claims; Definition for "High Potency" and Definition for "Antioxidant" for Use in Nutrient Content Claims for Dietary Supplements and Conventional Foods; Small Entity Compliance Guide". Center for Food Safety and Applied Nutrition, US Food and Drug Administration. July 2008. Archived from the original on 2 April 2013. Retrieved 2 October 2017.
  62. ^ a b Gross, Paul (1 March 2009). "New Roles for Polyphenols. A 3-Part Report on Current Regulations and the State of Science". Nutraceuticals World.
  63. ^ "Article 13 (5): Cocoa flavanols; Search filters: Claim status – authorised; search – flavanols". European Commission, EU Register. 31 March 2015. Retrieved 27 August 2022. Cocoa flavanols help maintain the elasticity of blood vessels, which contributes to normal blood flow
  64. ^ "Scientific opinion on the modification of the authorisation of a health claim related to cocoa flavanols and maintenance of normal endothelium-dependent vasodilation pursuant to Article 13(5) of Regulation (EC) No 1924/2006 following a request in accordance with Article 19 of Regulation (EC) No 1924/2006". EFSA Journal. 12 (5). May 2014. doi:10.2903/j.efsa.2014.3654.
  65. ^ "Article 13 (1): Olive polyphenols; Search filters: Claim status – authorised; search – polyphenols". European Commission, EU Register. 16 May 2012. Retrieved 27 August 2022. Olive oil polyphenols contribute to the protection of blood lipids from oxidative stress
  66. ^ "Scientific opinion on the substantiation of health claims related to polyphenols in olive and protection of LDL particles from oxidative damage (ID 1333, 1638, 1639, 1696, 2865), maintenance of normal blood HDL cholesterol concentrations (ID 1639), mainte". EFSA Journal. 9 (4): 2033. April 2011. doi:10.2903/j.efsa.2011.2033.
  67. ^ Condezo-Hoyos L, Gazi C, Pérez-Jiménez J (2021). "Design of polyphenol-rich diets in clinical trials: A systematic review". Food Research International. 149 110655. doi:10.1016/j.foodres.2021.110655. hdl:10261/258758. PMID 34600657.
  68. ^ a b Williams RJ, Spencer JP, Rice-Evans C (April 2004). "Flavonoids: antioxidants or signalling molecules?". Free Radical Biology & Medicine. 36 (7): 838–849. doi:10.1016/j.freeradbiomed.2004.01.001. PMID 15019969.
  69. ^ Erdman JW (2022). "Health and nutrition beyond essential nutrients: The evolution of the bioactives concept for human health". Molecular Aspects of Medicine. 89 101116. doi:10.1016/j.mam.2022.101116. PMID 35965134. S2CID 251524113.
  70. ^ Yetley EA, MacFarlane AJ, Greene-Finestone LS, et al. (January 2017). "Options for basing Dietary Reference Intakes (DRIs) on chronic disease endpoints: report from a joint US-/Canadian-sponsored working group". The American Journal of Clinical Nutrition. 105 (1): 249S – 285S. doi:10.3945/ajcn.116.139097. PMC 5183726. PMID 27927637.
  71. ^ Onakpoya IJ, Spencer EA, Thompson MJ, et al. (2014). "The effect of chlorogenic acid on blood pressure: a systematic review and meta-analysis of randomized clinical trials". Journal of Human Hypertension. 29 (2): 77–81. doi:10.1038/jhh.2014.46. ISSN 0950-9240. PMID 24943289. S2CID 2881228.
  72. ^ Ried K, Fakler P, Stocks NP, et al. (Cochrane Hypertension Group) (April 2017). "Effect of cocoa on blood pressure". The Cochrane Database of Systematic Reviews. 4 (5): CD008893. doi:10.1002/14651858.CD008893.pub3. PMC 6478304. PMID 28439881.
  73. ^ Raman G, Avendano EE, Chen S, et al. (November 2019). "Dietary intakes of flavan-3-ols and cardiometabolic health: systematic review and meta-analysis of randomized trials and prospective cohort studies". The American Journal of Clinical Nutrition. 110 (5): 1067–1078. doi:10.1093/ajcn/nqz178. PMC 6821550. PMID 31504087.
  74. ^ a b Nachvak SM, Moradi S, Anjom-Shoae J, et al. (September 2019). "Soy, Soy Isoflavones, and Protein Intake in Relation to Mortality from All Causes, Cancers, and Cardiovascular Diseases: A Systematic Review and Dose-Response Meta-Analysis of Prospective Cohort Studies". Journal of the Academy of Nutrition and Dietetics. 119 (9): 1483–1500.e17. doi:10.1016/j.jand.2019.04.011. ISSN 2212-2672. PMID 31278047. S2CID 195812592.
  75. ^ Travica N, D'Cunha NM, Naumovski N, et al. (March 2020). "The effect of blueberry interventions on cognitive performance and mood: A systematic review of randomized controlled trials" (PDF). Brain, Behavior, and Immunity. 85: 96–105. doi:10.1016/j.bbi.2019.04.001. PMID 30999017. S2CID 113408091.
  76. ^ Marx W, Kelly JT, Marshall S, et al. (June 2018). "Effect of resveratrol supplementation on cognitive performance and mood in adults: a systematic literature review and meta-analysis of randomized controlled trials". Nutrition Reviews. 76 (6): 432–443. doi:10.1093/nutrit/nuy010. hdl:10072/389251. PMID 29596658.
  77. ^ Committee on Toxicity of Chemicals in Food, Consumer Products and the Environment (2003). "Phytoestrogens and Health" (PDF).
  78. ^ "Risk assessment for peri- and post-menopausal women taking food supplements containing isolated isoflavones". European Food Safety Authority. 21 October 2015. Retrieved 26 August 2022.
  79. ^ a b c d "Diosmin". Drugs.com. 1 January 2019. Retrieved 7 November 2019.
  80. ^ "Vasculera – diosmiplex tablet". dailymed.nlm.nih.gov. National Institutes of Health. 26 April 2012. Retrieved 8 November 2019.
  81. ^ Del Rio D, Rodriguez-Mateos A, Spencer JP, et al. (May 2013). "Dietary (poly)phenolics in human health: structures, bioavailability, and evidence of protective effects against chronic diseases". Antioxidants & Redox Signaling. 18 (14): 1818–1892. doi:10.1089/ars.2012.4581. PMC 3619154. PMID 22794138.
  82. ^ Catalkaya G, Venema K, Lucini L, et al. (2020). "Interaction of dietary polyphenols and gut microbiota: Microbial metabolism of polyphenols, influence on the gut microbiota, and implications on host health". Food Frontiers. 1 (2): 109–133. doi:10.1002/fft2.25. hdl:10807/157865. S2CID 225656010.
  83. ^ a b Davies NM, Yáñez JA (2013). "Flavonoids and drug interactions". In Davies NM, Yanez JA (eds.). Flavonoid pharmacokinetics: methods of analysis, pre-clinical and clinical pharmacokinetics, safety, and toxicology. Hoboken, New Jersey: Wiley. ISBN 978-1-118-35440-7. OCLC 820665797.
  84. ^ Jaeger A, Wälti M, Neftel K (1988). "Side effects of flavonoids in medical practice". Progress in Clinical and Biological Research. 280: 379–394. PMID 2971975.
  85. ^ SACN Iron and Health Report (PDF). The Stationery Office. 2010. pp. 65, 68, 70, 73, 74. ISBN 9780117069923. Retrieved 3 September 2024.
  86. ^ "Iron Deficiency Anaemia Assessment, Prevention, and Control A guide for programme managers" (PDF). World Health Organization. 2001. Retrieved 3 September 2024.
  87. ^ "Recommendations to Prevent and Control Iron Deficiency in the United States". MMWR. 47 (RR-3). Centers for Disease Control and Prevention. 3 April 1998. Retrieved 3 September 2024.
  88. ^ SACN Iron and Health Report (PDF). The Stationery Office. 2010. p. 74. ISBN 9780117069923. Numerous cross-sectional studies have examined the association between total dietary iron intake and dietary modulators of iron absorption on biochemical markers of iron status ... These studies suffer from a number of limitations... Findings from cross-sectional studies assessing the effects of total iron intake, ascorbic acid, calcium and polyphenols, have been inconsistent...
  89. ^ Younes M, Aggett P, Aguilar F, et al. (April 2018). "Scientific opinion on the safety of green tea catechins". EFSA Journal. 16 (4): e05239. doi:10.2903/j.efsa.2018.5239. PMC 7009618. PMID 32625874.
  90. ^ EFSA Panel on Food Additives and Nutrient Sources Added to Food (1 September 2010). "Scientific opinion on the re-evaluation of curcumin (E 100) as a food additive". EFSA Journal. 8 (9). doi:10.2903/j.efsa.2010.1679.